Skip to main content
New! CHIME and DSA-110 FRB Notices, IceCube Notices and Schema v6.1.1. See news and announcements

GCN Circular 43650

Subject
GRB 260208B: SVOM/GRM observation of a bright burst
Date
2026-02-08T17:40:27Z (2 days ago)
From
Chenwei Wang at IHEP <cwwang@ihep.ac.cn>
Via
Web form
SVOM/GRM team: Xing-Hao Luo, Wen-Jun Tan, Chen-Wei Wang, Zheng-Hang Yu, Yue Huang, Shi-Jie Zheng, Shao-Lin Xiong, Shuang-Nan Zhang (IHEP)

SVOM/ECLAIRs team: Hui Yang (IRAP)

Report on behalf of the SVOM team:

SVOM/GRM was triggered in-flight by GRB 260208B (SVOM trigger reference: sb26020804) at 2026-02-08T09:52:48.000 UTC (T0), which is also detected by Fermi/GBM (Fermi GBM team, GCN #43638) and Fermi/LAT (F. Longo et al., GCN #43647).

With the event-by-event data downloaded through the X-band ground station, the GRM light curve shows that this burst consists of multi-pulses with a T90 of 147 +1/-1 s in the 15-5000 keV band.

The SVOM/GRM light curve can be found here:
https://www.bursthub.cn//admin/static/svgrb260208B.png

In addition, the position of this burst, as determined by Fermi/GBM (RA=99.9 , DEC=-13.1, Fermi GBM team, GCN #43638), is located at about 64 degrees form the SVOM optical axis, which is outside the ECLAIRs field of view, but this burst is still clearly detected by ECLAIRs through the shield.

With this localization, the time-averaged spectrum from T0-12 to T0+166 s is best fitted by a power law function with an exponential high-energy cutoff. The power law index is -1.01 +0.04/-0.04 and the cutoff energy parameterized as Epeak, is 830 +105/-89 keV. The event fluence (10-1000keV) in this time interval is (1.09 +0.024/-0.025)E-04 erg/cm^2. 

The 1s peak spectrum, measured from T0+11 to T0+12 s, is also best fitted by a power law function with an exponential high-energy cutoff. The power law index is -0.81 +0.03/-0.03 and the cutoff energy, parameterized as Epeak, is 1520 +130/-120 keV. The flux (10-1000 keV) in this time interval is (1.011 + 0.019/-0.019)E-05 erg/cm^2/s.

The localization of GRB 260208B in the 'Amati' relation diagram is shown at: 
https://www.bursthub.cn//admin/static/svgrb260208B_amati.png
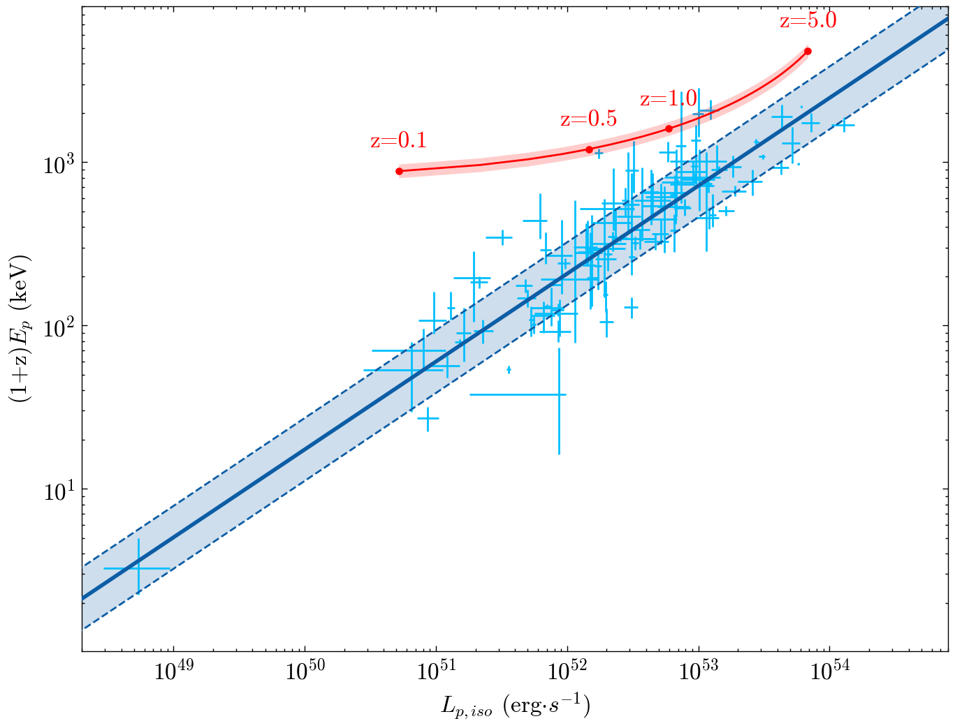
The localization of GRB 260208B in the 'Yonetoku' relation diagram is shown at: 
https://www.bursthub.cn//admin/static/svgrb260208B_yonetoku.png

The Space Variable Objects Monitor (SVOM) is a China-France joint mission led by the Chinese National Space Administration (CNSA, China), National Center for Space Studies (CNES, France) and the Chinese Academy of Sciences (CAS, China), which is dedicated to observing gamma-ray bursts and other transient phenomena in the energetic universe. GRM is developed by the Institute of High Energy Physics (IHEP) of CAS.

The SVOM point of contact for this burst is: Xing-Hao Luo (luoxh@ihep.ac.cn)


Looking for U.S. government information and services? Visit USA.gov