Skip to main content
Retirement of GCN Classic VOEvent Brokers. See news and announcements

GCN Circular 43714

Subject
GRB 260210A: SVOM/GRM observation
Date
2026-02-12T16:38:55Z (2 months ago)
From
guohx@ihep.ac.cn
Via
Web form
SVOM/GRM team: Hao-Xuan Guo, Chen-Wei Wang, Shi-Jie Zheng, Yue Huang, Shao-Lin Xiong, Shuang-Nan Zhang (IHEP)

SVOM/ECLAIRs team: Feliu Lacreu (IAP), Olivier GODET (IRAP)
Report on behalf of the SVOM team:

SVOM/GRM was triggered in-flight by GRB 260210A at 2026-02-10T11:27:37.300 (T0), which is also detected by KONUS-Wind, AstroSat CZTI (Arya et al., GCN #43686) and Glowbug (Cheung et al., GCN #43689).

With the event-by-event data downloaded through the X-band ground station, the GRM light curve shows that this burst consists of multiple pulses with a T90 of 34.4 +8.8/-5.2 s in the 15-5000 keV band.

The SVOM/GRM light curve can be found here:
https://www.bursthub.cn//admin/static/svgrb260210A.png

In addition, the position of this burst, as determined by on-ground trigger (RA = 254, Dec = 19, Error = 57), is located at about 72 degrees from the SVOM optical axis, which is outside the ECLAIRs field of view. But this burst is still detected by ECLAIRs through the shield.

With this localization, the time-averaged spectrum from T0-30 to T0+62 s is best fitted by a power law function with an exponential high-energy cutoff. The power law index is -1.33 +0.15/-0.14 and the cutoff energy, parameterized as Epeak, is 182 +65/-36 keV. The event fluence (10-1000 keV) in this time interval is (1.67 +0.17/-0.15)E-05 erg/cm^2.

The 1s peak spectrum, measured from T0+0.7 to T0+1.7 s, is also best fitted by a power law function with an exponential high-energy cutoff. The power law index is -0.74 +0.17/-0.16 and the cutoff energy, parameterized as Epeak, is 207 +33/-24 keV. The flux (10-1000 keV) in this time interval is (1.34 +0.11/-0.10)E-06 erg/cm^2/s.

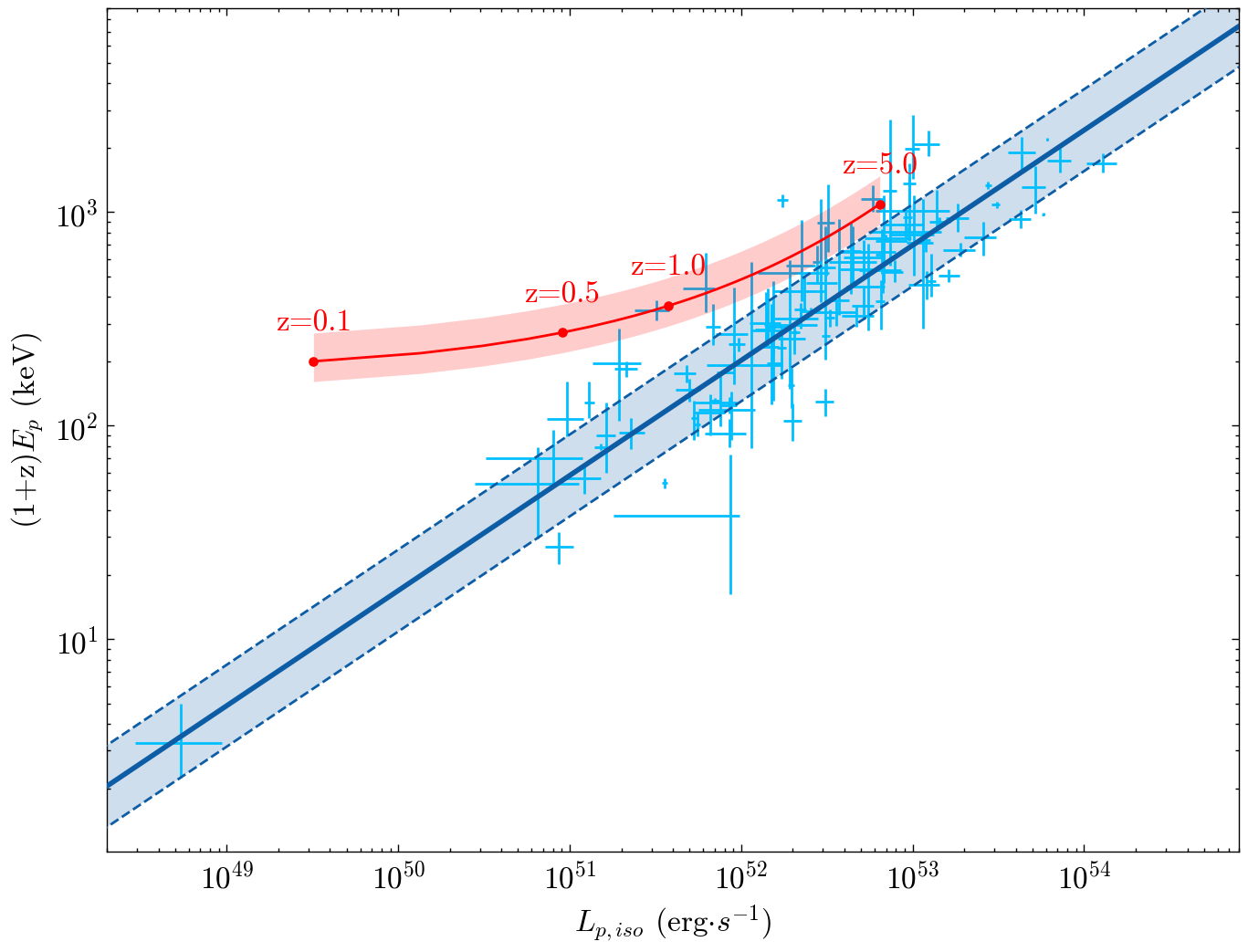
The localization of GRB 260210A in the 'Amati' relation diagram is shown at:
https://www.bursthub.cn//admin/static/svgrb260210A_amati.png
And the localization in the 'Yonetoku' relation diagram is shown at:
https://www.bursthub.cn//admin/static/svgrb260210A_yonetoku.png

The Space Variable Objects Monitor (SVOM) is a China-France joint mission led by the Chinese National Space Administration (CNSA, China), National Center for Space Studies (CNES, France) and the Chinese Academy of Sciences (CAS, China), which is dedicated to observing gamma-ray bursts and other transient phenomena in the energetic universe. GRM is developed by the Institute of High Energy Physics (IHEP) of CAS.

The SVOM/GRM point of contact for this burst is: Hao-Xuan Guo (IHEP) (guohx@ihep.ac.cn)
Looking for U.S. government information and services? Visit USA.gov