Skip to main content
New! Super-Kamiokande JSON Notices and Schema v4.5.0. See news and announcements

GRB 251203A

GCN Circular 43002

Subject
GRB 251203A: Insight-HXMT/HE detection
Date
2025-12-05T15:48:13Z (10 hours ago)
From
renyz16607@163.com
Via
Web form
Yang-Zhao Ren, Chen-Wei Wang, Cheng-Kui Li, Shao-Lin Xiong, and Chao Zheng (IHEP) report on behalf of the Insight-HXMT team:

At 2025-12-03T08:18:50.250 (T0), Insight-HXMT/HE detected a long burst, GRB 251203A, which is also detected by Fermi/GBM (Fermi GBM team, GCN#42968), SVOM/GRM (Ren et al., GCN#42995), and GECAM-B (Ren et al., GCN#42996). 

The Insight-HXMT/HE light curve mainly consists of multiple pulses with T90 of 11 +5/-5 s. The 1s peak rate, measured from T0-0.5 s, is 351 cnts/sec. Insight-HXMT/HE detected a total of 1399 counts from this burst.  

The Insight-HXMT /HE light curve can be found here: 
https://www.bursthub.cn//admin/static/hxmtgrb251203A.png  

All measurements above are made with the CsI detectors of Insight-HXMT/HE operating in the Low-Gain mode with the energy range of about 300-3000 keV (deposited energy). Only gamma-rays with energy greater than about 200 keV can penetrate the spacecraft and leave signals in the CsI detectors installed inside of the telescope.

Insight-HXMT is the first Chinese space X-ray telescope, which was funded jointly by the China National Space Administration (CNSA) and the Chinese Academy of Sciences (CAS). More information about it could be found at: http://www.hxmt.org

GCN Circular 42996

Subject
GRB 251203A: GECAM-B observation of a burst
Date
2025-12-05T07:58:43Z (18 hours ago)
From
renyz16607@163.com
Via
Web form
Yang-Zhao Ren, Chen-Wei Wang, Shao-Lin Xiong (IHEP) report on behalf of GECAM team:

GECAM-B was triggered on-ground by GRB 251203A, at 2025-12-03T08:18:45.150 UTC (denoted as T0), which is also detected by Fermi/GBM (Fermi GBM team, GCN #42968), and SVOM/GRM (Ren et al., GCN #42995). 

According to the GECAM-B light curves in about 70-6000 keV, this burst mainly consists of multiple pulses with a duration (T90) of 14 +1/-3 s.

The GECAM-B light curve can be found here:
https://www.bursthub.cn//admin/static/gecambgrb251203A.png

Gravitational wave high-energy Electromagnetic Counterpart All-sky Monitor (GECAM) mission originally consists of two micro-satellites (GECAM-A and GECAM-B) launched in Dec. 2020. As the third member of GECAM constellation, GECAM-C was launched onboard SATech-01 experimental satellite in July 2022. GECAM mission is funded by the Chinese Academy of Sciences (CAS).

GCN Circular 42995

Subject
GRB 251203A: SVOM/GRM observation
Date
2025-12-05T05:45:12Z (20 hours ago)
From
renyz16607@163.com
Via
Web form
SVOM/GRM team: Yang-Zhao Ren, Chen-Wei Wang, Shi-Jie Zheng, Yue Huang, Shao-Lin Xiong, Shuang-Nan Zhang (IHEP)

SVOM/ECLAIRs team: Nicolas Dagoneau (CEA), Jean-Luc Atteia (IRAP)

Report on behalf of the SVOM team:

SVOM/GRM was triggered on-ground by GRB 251203A at 2025-12-03T08:18:45.150 UTC (T0), which is also detected by Fermi/GBM (Fermi GBM Team, GCN #42968).

With the event-by-event data downloaded through the X-band ground station, the GRM light curve shows that this burst consists of multiple pulses with a T90 of 14.5 +2.5/-1.5 s in the 15-5000 keV band.

The SVOM/GRM light curve can be found here:
https://www.bursthub.cn//admin/static/svgrb251203A.png

In addition, the position of this burst, as determined by Fermi/GBM (RA = 165.5, Dec = -46.9, GCN #42968), is located at about 94 degrees from the SVOM optical axis, which is outside the ECLAIRs field of view.

With this localization, the time-averaged spectrum from T0-2 to T0+20 s is best fitted by a power law function with an exponential high-energy cutoff. The power law index is -1.40 +0.23/-0.28 and the cutoff energy, parameterized as Epeak, is 185 +83/-42 keV. The event fluence (10-1000 keV) in this time interval is (7.87 +0.94/-0.88)E-06 erg/cm^2.

The 1s peak spectrum, measured from T0+14.85 to T0+15.85 s, if fitted by a power law function with an exponential high-energy cutoff, the power law index is -1.65 +0.14/-0.17 and the cutoff energy, parameterized as Epeak, is 1040 +1700/-630 keV. The flux (10-1000 keV) in this time interval is (1.41 +0.13/-0.14)E-06 erg/cm^2/s. 

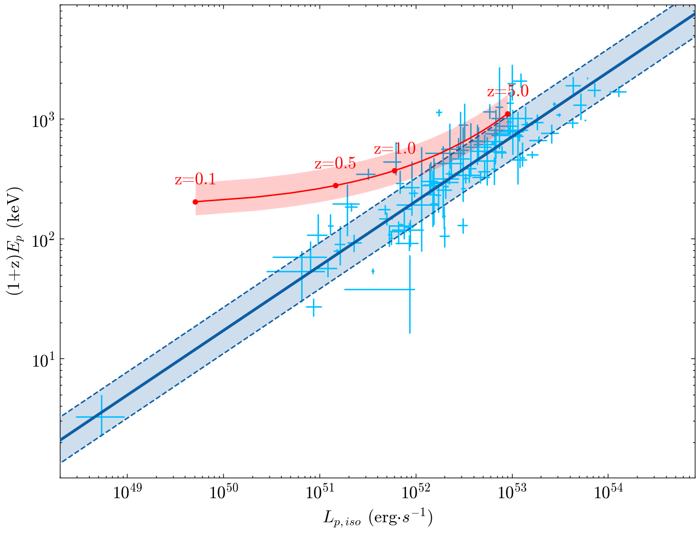
The localization of GRB 251203A in the 'Amati' relation diagram is shown at: 
https://www.bursthub.cn//admin/static/svgrb251203A_amati.png
The localization of GRB 251203A in the 'Yonetoku' relation diagram is shown at: 
https://www.bursthub.cn//admin/static/svgrb251203A_yonetoku.png

The Space Variable Objects Monitor (SVOM) is a China-France joint mission led by the Chinese National Space Administration (CNSA, China), National Center for Space Studies (CNES, France) and the Chinese Academy of Sciences (CAS, China), which is dedicated to observing gamma-ray bursts and other transient phenomena in the energetic universe. GRM is developed by the Institute of High Energy Physics (IHEP) of CAS.

The SVOM point of contact for this burst is: Yang-Zhao Ren (IHEP)(renyz@ihep.ac.cn)

GCN Circular 42991

Subject
GRB 251203A: AstroSat CZTI detection
Date
2025-12-04T18:21:20Z (a day ago)
From
Anuraag Arya at IIT Bombay <aryaanuraag910@gmail.com>
Via
Web form
Harsha K. H. (IUCAA), S. Salunke (IUCAA), M. Tembhurnikar (IUCAA), A. Arya (IITB), A. Goyal (IITB), U. Pathak (IITB), G. Waratkar (Caltech/IITB), A. Vibhute (IUCAA), V. Bhalerao (IITB), D. Bhattacharya (Ashoka University/IUCAA), A. R. Rao (IUCAA/TIFR), and S. Vadawale (PRL) report on behalf of the AstroSat CZTI collaboration:

Analysis of AstroSat CZTI data with the CIFT framework (Sharma et al., 2021, JApA, 42, 73) showed the detection of a long GRB 251203A which was also detected by Fermi GBM (Fermi GBM Team, GCN Circ. 42968), and Konus-IPN (via IPN Notices).

The source was clearly detected in the CZT detectors in the 20-200 keV energy range. The light curve showed multiple peaks of emission with the strongest peak at 2025-12-03 08:19:00.50 UTC. The measured peak count rate associated with the burst is 148 (+38, -16) counts/s above the background in the combined data of three quadrants (out of four), with a total of 775 (+165, -169) counts. The local mean background count rate was 225 (+3, -3) counts/s. Using cumulative rates, we measure a T90 of 15 (+2, -3) s. 

The source was also clearly detected in the CsI anticoincidence (Veto) detector in the 100-500 keV energy range. The light curve showed multiple peaks of emission with the strongest peak at 2025-12-03 08:18:47.01 UTC. The measured peak count rate associated with the burst is 150 (+70, -22) counts/s above the background in the combined data of all quadrants, with a total of 989 (+427, -457) counts. The local mean background count rate was 1321 (+7, -8) counts/s. We measure a T90 of 15 (+1, -7) s from the cumulative Veto light curve.

CZTI is built by a TIFR-led consortium of institutes across India, including VSSC, URSC, IUCAA, SAC, and PRL. The Indian Space Research Organisation funded, managed, and facilitated the project.

CZTI GRB detections are reported regularly on the payload site at:
http://astrosat.iucaa.in/czti/?q=grb


GCN Circular 42968

Subject
GRB 251203A: Fermi GBM Final Real-time Localization
Date
2025-12-03T11:49:53Z (3 days ago)
From
Cuán de Barra at UCD <cuan.debarra@ucdconnect.ie>
Via
Web form
The Fermi GBM team reports the detection of a likely LONG GRB

"At 08:18:45.15 UT on 03 December 2025, the Fermi Gamma-ray Burst Monitor (GBM)
triggered and located GRB 251203A (trigger 786442730/251203346).

The on-ground calculated location, using the Fermi GBM trigger data,
is RA = 165.6, Dec = -46.9  (J2000 degrees, equivalent to J2000 11h 02m, 46d 54'),
with a statistical uncertainty of 2.2 degrees.

The angle from the Fermi LAT boresight is 58 degrees.

The skymap can be found here:
https://heasarc.gsfc.nasa.gov/FTP/fermi/data/gbm/triggers/2025/bn251203346/quicklook/glg_skymap_all_bn251203346.png

The HEALPix FITS file, including the estimated localization systematic, can be found here:
https://heasarc.gsfc.nasa.gov/FTP/fermi/data/gbm/triggers/2025/bn251203346/quicklook/glg_healpix_all_bn251203346.fit

The GBM light curve can be found here:
https://heasarc.gsfc.nasa.gov/FTP/fermi/data/gbm/triggers/2025/bn251203346/quicklook/glg_lc_medres34_bn251203346.gif"


Looking for U.S. government information and services? Visit USA.gov