Skip to main content
New! Super-Kamiokande JSON Notices and Schema v4.5.0. See news and announcements

GRB 251208A

GCN Circular 43060

Subject
GRB 251208A: AstroSat CZTI detection
Date
2025-12-10T06:31:41Z (9 hours ago)
From
Anuraag Arya at IIT Bombay <aryaanuraag910@gmail.com>
Via
Web form
A. Goyal (IITB), A. Arya (IITB), M. Tembhurnikar (IUCAA), S. Salunke (IUCAA), Harsha K. H. (IUCAA), G. Waratkar (Caltech/IITB), A. Vibhute (IUCAA), V. Bhalerao (IITB), D. Bhattacharya (Ashoka University/IUCAA), A. R. Rao (IUCAA/TIFR), and S. Vadawale (PRL) report on behalf of the AstroSat CZTI collaboration:

Analysis of AstroSat CZTI data with the CIFT framework (Sharma et al., 2021, JApA, 42, 73) showed the detection of a short duration GRB 251208A which was also detected by Fermi GBM (Fermi GBM Team, GCN Circ. 43027), and SVOM/GRM (Wang et. al., GCN Circ. 43042).

The source was clearly detected in the CsI anticoincidence (Veto) detector in the 100-500 keV energy range. The light curve peaks at 2025-12-08 09:25:56.97 UTC. The measured peak count rate associated with the burst is 337 (+63, -72) counts/s above the background in the combined data of all quadrants, with a total of 526 (+239, -300) counts. The local mean background count rate was 1251 (+7, -6) counts/s. Due to the intrinsic 1 s binning of veto data, we cannot reliably estimate a T90 for this short burst.

The source was also faintly detected in the CZT detectors in the 20-200 keV energy range.

CZTI is built by a TIFR-led consortium of institutes across India, including VSSC, URSC, IUCAA, SAC, and PRL. The Indian Space Research Organisation funded, managed, and facilitated the project.

CZTI GRB detections are reported regularly on the payload site at:
http://astrosat.iucaa.in/czti/?q=grb


GCN Circular 43058

Subject
GRB 251208A: Glowbug gamma-ray detection
Date
2025-12-09T18:40:44Z (21 hours ago)
From
C.C. Cheung at Naval Research Lab <Teddy.Cheung@nrl.navy.mil>
Via
Web form
C.C. Cheung, R. Woolf, M. Kerr, J.E. Grove (NRL), A. Goldstein (USRA), C.A. Wilson-Hodge, D. Kocevski (MSFC), and M.S. Briggs (UAH) report:

The Glowbug gamma-ray telescope [1,2,3], operating on the International Space Station, reports the detection of GRB 251208A, which was also detected by Fermi/GBM (GCN 43027), SVOM/GRM (GCN 43042), and GECAM-B (GCN 43054). 

Using an adaptive window with a resolution of 32-ms, the burst onset is determined to be 2025-12-08 09:25:56.376 with a duration of 2.05 s and a total significance of about 13.5 sigma.  The light curve comprises a single peak.

The analysis results presented here are preliminary and use a response function that lacks a detailed characterization of the surrounding passive structure of the ISS.

Glowbug is a NASA-funded technology demonstrator for sensitive, low-cost gamma-ray transient telescopes developed, built, and operated by the U.S. Naval Research Laboratory (NRL) with support from the University of Alabama in Huntsville, USRA, and NASA MSFC.  It was launched on 2023 March 15 aboard the Department of Defense Space Test Program’s STP-H9 to the ISS and operated until 2024 April when it was put in safe storage on orbit. Glowbug was removed from storage and resumed operation on 2025 September 12.

[1] Grove, J.E. et al. 2020, Proc. Yamada Conf. LXXI, arXiv:2009.11959
[2] Woolf, R.S. et al. 2022, Proc. SPIE, 12181, id. 121811O
[3] Woolf, R.S. et al. 2024, Proc. SPIE, 13151, id. 1315108

Distribution Statement A: Approved for public release.  Distribution is unlimited.

GCN Circular 43054

Subject
GRB 251208A: GECAM-B observation of a short burst
Date
2025-12-09T16:15:06Z (a day ago)
From
Yue Wang <m18509381757@163.com>
Via
Web form
Yue Wang, Chen-Wei Wang, Shao-Lin Xiong (IHEP) report on behalf of GECAM team:

GECAM-B was triggered on-ground by GRB 251208A, at 2025-12-08T09:25:57.550 UTC (denoted as T0), which is also detected by Fermi/GBM (Fermi GBM team, GCN #43027) and SVOM/GRM (Yue Wang et al., GCN #43042). 

According to the GECAM-B light curves in about 70-6000 keV, this burst mainly consists of a single pulse with a duration (T90) of 2.4 +0.7/-1.2 s.

The GECAM-B light curve can be found here:
https://www.bursthub.cn//admin/static/gecambgrb251208A.png

Gravitational wave high-energy Electromagnetic Counterpart All-sky Monitor (GECAM) mission originally consists of two micro-satellites (GECAM-A and GECAM-B) launched in Dec. 2020. As the third member of GECAM constellation, GECAM-C was launched onboard SATech-01 experimental satellite in July 2022. GECAM mission is funded by the Chinese Academy of Sciences (CAS).

GCN Circular 43042

Subject
GRB 251208A: SVOM/GRM observation of a short burst
Date
2025-12-09T01:54:54Z (2 days ago)
From
Yue Wang <m18509381757@163.com>
Via
Web form
SVOM/GRM team: Yue Wang, Chen-Wei Wang, Wen-Jun Tan, Shi-Jie Zheng, Yue Huang, Shao-Lin Xiong, Shuang-Nan Zhang (IHEP)

SVOM/ECLAIRs team: Frédéric Daigne (IAP)

Report on behalf of the SVOM team:

SVOM/GRM was triggered in-flight by GRB 251208A (SVOM trigger reference: sb25120804) at 2025-12-08T09:25:58.000 (T0), which is also detected by Fermi/GBM (Fermi GBM team, GCN #43027). 

With the event-by-event data downloaded through the X-band ground station, the GRM light curve shows that this burst consists of a single pulse with a T90 of 2.2 +0.9/-0.5 s in the 15-5000 keV band.

The SVOM/GRM light curve can be found here:
https://www.bursthub.cn//admin/static/svgrb251208A.png

In addition, the position of this burst, as determined by Fermi/GBM (RA = 32.8, Dec = -66.7, position uncertainty = 3.9, GCN #43027), is located at about 61 degrees from the SVOM optical axis, which is outside the ECLAIRs field of view. 

With this localization, the time-averaged spectrum from T0-1 to T0+2 s is best fitted by a power law function with an exponential high-energy cutoff. The power law index is -1.20 +0.19/-0.18 and the cutoff energy, parameterized as Epeak, is 135 +51/-27 keV. The event fluence (10-1000 keV) in this time interval is (1.29 +0.19/-0.14)E-06 erg/cm^2.  

The 1s peak spectrum, measured from T0-0.6 to T0+0.4 s, if fitted by a power law function with an exponential high-energy cutoff, the power law index is -0.98 +0.17/-0.18 and the cutoff energy, parameterized as Epeak, is 139 +33/-21 keV. The flux (10-1000 keV) in this time interval is (7.79 +0.91/-0.72)E-07 erg/cm^2/s.

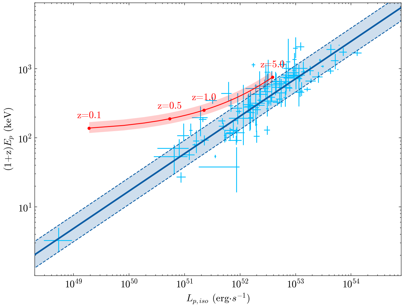
The localization of GRB 251208A in the 'Amati' relation diagram is shown at: https://www.bursthub.cn//admin/static/svgrb251208A_amati.png
The localization of GRB 251201A in the 'Yonetoku' relation diagram is shown at: 
https://www.bursthub.cn//admin/static/svgrb251208A_yonetoku.png

In the absence of a measured redshift, the duration, soft spectrum, and position in the Amati diagram do not allow us to determine whether this burst is type I or type II.

The Space Variable Objects Monitor (SVOM) is a China-France joint mission led by the Chinese National Space Administration (CNSA, China), National Center for Space Studies (CNES, France) and the Chinese Academy of Sciences (CAS, China), which is dedicated to observing gamma-ray bursts and other transient phenomena in the energetic universe. GRM is developed by the Institute of High Energy Physics (IHEP) of CAS.

The SVOM/GRM point of contact for this burst is: Yue Wang (IHEP) (yuewang@ihep.ac.cn)


GCN Circular 43027

Subject
GRB 251208A: Fermi GBM Final Real-time Localization
Date
2025-12-08T09:36:35Z (2 days ago)
From
Fermi GBM Team at MSFC/Fermi-GBM <do_not_reply@GIOC.nsstc.nasa.gov>
Via
email
The Fermi GBM team reports the detection of a likely SHORT GRB

At 09:25:57 UT on 8 Dec 2025, the Fermi Gamma-ray Burst Monitor (GBM) triggered and located GRB 251208A (trigger 786878762.38767 / 251208393).

The on-ground calculated location, using the Fermi GBM trigger data, is RA = 32.8, Dec = -66.7 (J2000 degrees, equivalent to J2000 02h 11m, -66d 42'), with a statistical uncertainty of 3.9 degrees.

The angle from the Fermi LAT boresight is 56.0 degrees.

The skymap can be found here:
https://heasarc.gsfc.nasa.gov/FTP/fermi/data/gbm/triggers/2025/bn251208393/quicklook/glg_skymap_all_bn251208393.png

The HEALPix FITS file, including the estimated localization systematic, can be found here:
https://heasarc.gsfc.nasa.gov/FTP/fermi/data/gbm/triggers/2025/bn251208393/quicklook/glg_healpix_all_bn251208393.fit

The GBM light curve can be found here:
https://heasarc.gsfc.nasa.gov/FTP/fermi/data/gbm/triggers/2025/bn251208393/quicklook/glg_lc_medres34_bn251208393.gif


Looking for U.S. government information and services? Visit USA.gov