Skip to main content
New! Super-Kamiokande JSON Notices and Schema v4.5.0. See news and announcements

GRB 251226A

GCN Circular 43245

Subject
GRB 251226A: SVOM/GRM observation
Date
2025-12-27T17:34:44Z (14 hours ago)
From
Chenwei Wang at IHEP <cwwang@ihep.ac.cn>
Via
Web form
SVOM/GRM team: Chen-Wei Wang, Wen-Jun Tan, Xue-Yuan Zao, Yue Huang, Shi-Jie Zheng, Shao-Lin Xiong, Shuang-Nan Zhang (IHEP)

SVOM/ECLAIRs team: Olivier GODET (IRAP)

Report on behalf of the SVOM team:

SVOM/GRM was triggered in-flight GRB 251226A (SVOM trigger reference: sb25122601) at 2025-12-26T08:01:05.000 UTC (T0), which is also detected by GECAM-B (Wang et al., GCN#43244) and HXMT.

With the event-by-event data downloaded through the X-band ground station, the GRM light curve shows that this burst consists of a precursor followed by a main emission with a T90 of 58.7 +9.0/-9.4 s in the 15-5000 keV band. 

The SVOM/GRM light curve can be found here:
https://www.bursthub.cn//admin/static/svgrb251226A.png

In addition, the position of this burst, as determined by GECAM-B (RA= 260.2, DEC= 47.0, ERR=9.1), is located at about 125 degrees from the SVOM optical axis, which is outside the ECLAIRs field of view. 

With this localization, the time-averaged spectrum from T0-3 to T0+100 s is best fitted by a power law function with an exponential high-energy cutoff. The power law index is -1.29 +0.22/-0.19 and the cutoff energy, parameterized as Epeak, is 632 +279/-146 keV. The event fluence (10-1000 keV) in this time interval is (4.33 +0.20/-0.21)E-05 erg/cm^2. 

The 1s peak spectrum, measured from T0+3 to T0+4 s, is also best fitted by a power law function with an exponential high-energy cutoff. The power law index is -1.18 +0.27/-0.20 and the cutoff energy, parameterized as Epeak, is 1520 +122/-56 keV. The flux (10-1000 keV) in this time interval is (2.61 +0.17/-0.17)E-06 erg/cm^2/s.

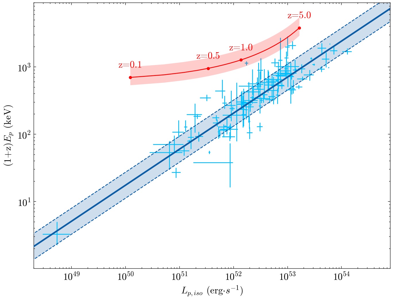
The localization of GRB 251226A in the 'Amati' relation diagram is shown at: 
https://www.bursthub.cn//admin/static/svgrb251226A_amati.png
And the localization in the 'Yonetoku' relation diagram is shown at: 
https://www.bursthub.cn//admin/static/svgrb251226A_yonetoku.png

The Space Variable Objects Monitor (SVOM) is a China-France joint mission led by the Chinese National Space Administration (CNSA, China), National Center for Space Studies (CNES, France) and the Chinese Academy of Sciences (CAS, China), which is dedicated to observing gamma-ray bursts and other transient phenomena in the energetic universe. GRM is developed by the Institute of High Energy Physics (IHEP) of CAS.

The SVOM point of contact for this burst is: Chen-Wei Wang (IHEP)(cwwang@ihep.ac.cn)


GCN Circular 43244

Subject
GRB 251226A: GECAM-B detection
Date
2025-12-27T17:22:35Z (14 hours ago)
From
Chenwei Wang at IHEP <cwwang@ihep.ac.cn>
Via
Web form
Chen-Wei Wang, Wen-Jun Tan, Xue-Yuan Zao, Shao-Lin Xiong (IHEP) report on behalf of GECAM team:

GECAM-B was triggered in-flight by a long burst GRB 251226A, at 2025-12-26T08:01:02.550 UTC (denoted as T0), which is also detected by SVOM/GRM and HXMT. 

According to the GECAM-B light curve in about 70-6000 keV, this burst mainly consists of a precursor-like pulse followed by a multi-pulses main emission with a duration (T90) of 35.9 +3.4/-6.0 s. We note that the quiescent time between the precursor-like pulse and the main emission is relatively short. 

The GECAM-B light curve can be found here:
https://www.bursthub.cn//admin/static/gecambgrb251226A.png

GECAM-B in-flight localization of this burst is (J2000): 
Ra: 260.2 deg 
Dec: 47.0 deg
Err: 9.1 deg (1-sigma, statistical only)

We note that the localization may be improved since this burst is not detected by Fermi/GBM.

Gravitational wave high-energy Electromagnetic Counterpart All-sky Monitor (GECAM) mission originally consists of two micro-satellites (GECAM-A and GECAM-B) launched in Dec. 2020. As the third member of GECAM constellation, GECAM-C was launched onboard SATech-01 experimental satellite in July 2022. GECAM mission is funded by the Chinese Academy of Sciences (CAS).


Looking for U.S. government information and services? Visit USA.gov